EVO真人

产品服务
PRODUCT SERVICES
全部分类

其他中间体

详情描述
参数

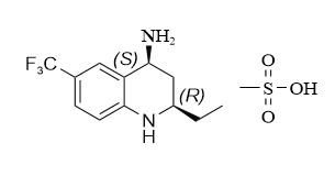
丨CAS No.934274-23-4中间体

4-Quinolinamine, 2-ethyl-1,2,3,4-tetrahydro-6-(trifluoromethyl)-,(2R ,4S)-

Catalog No. SZ-2267

CAS No.934274-23-4

Purity: 99%

Status:pilot scale

 

丨CAS No.952582-02-4中间体

4-Quinolinamine, 2-ethyl-1,2,3,4-tetrahydro-6-(trifluoromethyl)-,(2R ,4S)-

Catalog No. SZ-2267

CAS No. 952582-02-4

Purity :99%

Status:pilot scale

扫二维码用手机看
未找到相应参数组,请于后台属性模板中添加
其他产品
×

搜索

搜索
这是描述信息

热线:021-68187180

传真:021-68187179

邮箱:services@dingzhuti.com

                    sales@dingzhuti.com

地址:上海市浦东新区周浦镇蓝靛路1199号

这是描述信息
版权所有©EVO真人(上海)有限公司    沪ICP备09012407号      沪公网安备31011502015262号   
×